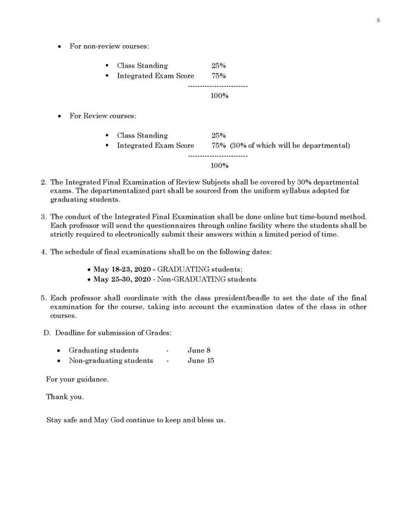
Continuity plan

April 11, 2020

Disclaimer: The views and opinions expressed in this article are of the author/s and not necessarily state or reflect those of the University of Santo Tomas, Faculty of Civil Law, its administrators or faculty members.